萨尔图区第五期有奖发票摇奖结果出炉 看看您中了几个
作者: 来源:大庆网 频道主编:宇满侨
开奖啦!开奖啦!
7月3日晚,萨尔图区第五期有奖发票摇奖首次现场直播,再次点燃了消费者的热情,索票、录入信息、中大奖一时间成为大家热议的话题。
不仅如此,本轮摇奖格外惹人注目,因为奖项特别多,共1425个,足足比平时多了266个,其中六等奖866个、五等奖371个、四等奖123个、三等奖55个、二等奖6个、一等奖2个、特等奖2个。
别的奖项咱先不说,仅特等奖就多了一个,那可是10万元的大奖呀!
据了解,多出的266个奖项均来自上上期摇奖未兑奖项,这么多奖,您中了几个呢?赶快登录萨尔图区政府网、萨尔图区政府微信平台和有奖发票活动官网查询吧。
中奖人须在60日内,携带中奖发票原件、身份证原件及复印件、本人银行卡或存折原件到税务部门办理手续,逾期未办理领奖手续将视为自动放弃,弃奖奖金将转入下下期奖池。
此外,没有中奖的市民依然有机会参与积票兑奖,10张以上发票就可在萨尔图区各社区工作站换取牙膏、豆油、洗衣液、电饭煲等日常生活用品。
需要提醒市民注意的是,“营改增”后,索要发票时可能需要等待几分钟,同时有的商家还会故意说:“发票变了,要发票没用。”这些会让有的消费者产生一些疑虑:“有奖发票还会不会再继续?”
对此,萨尔图区表示,虽然营业税改征增值税导致发票的样子变了,但萨尔图区有奖发票活动没有停止,不仅还在进行,而且还要持续进行,摇奖活动还是每两个月进行一次。积票兑奖活动长期有效,希望广大群众踊跃参加,抓住机会,说不定下次大奖就是你的。
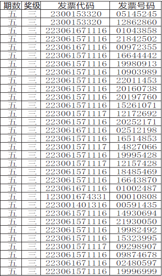
大庆市萨尔图区第五期发票摇奖中奖号码


相关新闻









